Operational Amplifier
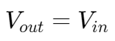
Buffer


Non-Inverting Amplifier


Inverting Amplifier


Summation Amplifier


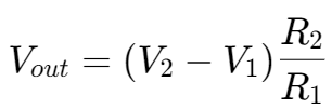
Difference Amplifier



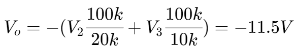
对于 V2,有增益 
对于 V3,有增益 
例题 1

Vin = +0.1V,求输出电压。
先计算左上角放大器的输出电压:
左下角放大器电路为 buffer,其输出电压:
右侧放大器电路为 Summation amplifier,其输出电压:











对于 V2,有增益 
对于 V3,有增益 

Vin = +0.1V,求输出电压。
先计算左上角放大器的输出电压:
左下角放大器电路为 buffer,其输出电压:
右侧放大器电路为 Summation amplifier,其输出电压: